xhl.小红楼论坛楼凤大修车队论坛,重庆一品凤楼网站论坛,紫兰轩论坛北京验证,凤凰茶楼的电话是多少

ÊÖ»úɨÂ룬΢ÐÅ×Éѯ!

¶Ô¿ÕÇ鱨À×´ïÕ¾µç´Å»·¾³·À»¤ÒªÇó(GB 13618-92)-¸öÈË·øÉä¼ì²âÒÇ_·øÉä²âÁ¿ÒÇ_·øÉä¼ì²âÒÇ_·øÉäѲ²âÒÇ_·øÉäѲ¼ìÒÇ_·øÉäÒÇ|ÉϺ£ÈÊÈÕ·øÉä·À»¤É豸ÓÐÏÞ¹«Ë¾_ɽ¶«_×Ͳ©

µç»°£º86-021-69515711
´«Õ棺86-021-69515712

³ÉÏÈÉú-ÉϺ£ÈÊÈÕ·øÉä·À»¤ ¿Í·þ

ÁªÏµÎÒÃÇ
¹Ø×¢£ºÈÊÈտƼ¼
¹Ø×¢ÈÊÈտƼ¼;»ñÈ¡·øÉä·À»¤ÖªÊ¶£¡
ÍÆ¼ö²úÆ·
  •   REN600A ±íÃæÕ´ÎÛ¼à²âÒÇ

    REN600AÐͦÁ¡¢¦Â¡¢¦ÃÉäÏß±íÃæÎÛȾ¼ì²âÒǼ´¿É¼ì²â¦Á¡¢¦Â¡¢¦ÃÉäÏߣ¬Ò²Äܼì²âµ½XÉäÏß,Ëü²ÉÓøßËÙǶÈëʽ΢´¦Æ÷×÷ΪÊý¾Ý´¦Àíµ¥Ôª£¬µãÕóʽ´óÆÁÄ»LCDÒº¾§ÏÔʾ£¬¶ÁÊýÇåÎú¡¢²Ù×÷·½±ã£¬¾ßÓÐ400Ìõ³¬´óÈÝÁ¿Êý¾Ý´æ´¢¡£ÒÇÆ÷²ÉÓýø¿ÚµÄ´óÃæ»ýMICA¸Ç¸ï̽²âÆ÷£¬¾ßÓнϸß̽²âЧÂÊ£¬¿É½øÐЦÁ¡¢¦Â·øÉä±íÃæÎÛȾ¼ì²âºÍX¡¢¦Ã·ø

  •   REN200 ¸öÈË·øÉä¼ì²âÒÇ

       REN200ÐÍX¡¢¦Ã¸öÈ˼ÁÁ¿±¨¾¯ÒÇ£¨ÓÖ½ÐX¡¢¦Ã·øÉä¸öÈ˼ÁÁ¿µ±Á¿HP(10)¼à²âÒÇ£©ÄÚÖøßÁéÃô¶È¸Ç¸ñ¼ÆÊý¹ÜΪ̽²âÆ÷£¬Ö÷ÒªÓÃÀ´¼à²â¸÷ÖÖ·ÅÉäÐÔ¹¤×÷³¡ËùµÄX¡¢¦ÃÒÔ¼°Ó²¦ÂÉäÏߵķøÉ䣬¾ßÓÐÏìÓ¦¿ì£¬²âÁ¿·¶Î§¿íµÄÌØµã¡£ÄÜÏÔʾ¹¤×÷³¡ËùµÄ¼ÁÁ¿µ±Á¿ÂʺÍÀÛ»ý¼ÁÁ¿£¬¸ü»»µç³ØÊ±£¬ÈÕÆÚ¼°ÀÛ»ýÊý¾ÝÄÜÓÀ¾Ã±£

  •   REN300B ·øÉä¼ÁÁ¿Âʱ¨¾¯ÒÇ

    REN300BÔÚÏß·øÉ䰲ȫ±¨¾¯ÒÇÊÇÒ»ÖÖÐÂÐ͵Äx-¦Ã·øÉäÁ¬Ðø¼à²â±¨¾¯×°Öã¬Ëü²ÉÓÃÌØÊâÉè¼ÆµÄǰÖ÷Ŵóµç·£¬¾ßÓÐÁéÃô¶È¸ß¡¢²Ù×÷·½±ã¡¢×Ô¶¯ÏÔʾºÍ³¬ãÐÖµ±¨¾¯µÈÌØµã£¬ÄÜʵʱ¸ø³öx¦Ã·øÉä¼ÁÁ¿ÂÊ¡£¿¼Âǵ½ÏÖ³¡²Ù×÷¡¢Ó¦¼±¿ìËÙÏìÓ¦µÄÐèÒª£¬Ö÷»ú°²×°ÔÚ·øÉäÏÖ³¡,ʵÏÖʵʱ¼à²âÓë¾ÍµØ±¨¾¯£¬Í¨¹ýRS485ͨѶʵÏÖ×Ü¿ØÖÆÊÒ×Ô¶¯¼à¿Ø¡£

  •   REN-2GM-H Ë«GM¹Ü³¬¸ßÁ¿³ÌÉäÏß̽ͷ

    RENϵÁÐÖÇÄÜ»¯·øÉä̽ͷ¾ù¿ÉºÍREN300¡¢REN300A¡¢REN300BϵÁÐÖ÷»úÅäÌ×ʹÓÃ,Ò²¿ÉÒÔµ¥¶ÀÅäÌ×RenRiArea·øÉäÇøÓò¼à²âÈí¼þʹÓá£ÇÒ¾ßÓÐRS485/RS232µÄͨѶÄÜÁ¦¡£ËùÓÐ̽ͷ¾ù¿Éµ¥¶ÀÍâ½Ó±¨¾¯µÆ£¬ÔÚ³¬ãÐÖµµÄÇé¿öϾ͵ظø³öÉù¹â±¨¾¯¡£ 1¡¢²âÁ¿ÉäÏßÀàÐÍ£ºX¡¢¦ÃÉäÏß2¡¢Ì½²âÆ÷£º2¸öGM

  •   ·ÅÉäÔ´´¢´æ Ǧ¹Þ

    1¡¢ÄÚ¾¶ 300¡Á300¡Á300mm2¡¢ÉÌÆ·ÃèÊö£º ǦÏä3¡¢Ç¦µ±Á¿£º 5mmPb4¡¢Íâ±í²ÄÖÊ£º²»Ðâ¸Ö5¡¢ÉϺ£ÈÊÈÕ

  •   REN-NaI30-Im ·øÉ䰲ȫ±¨¾¯ÒÇ

        RENϵÁÐÖÇÄÜ»¯·øÉä̽ͷ¾ù¿ÉºÍREN300¡¢REN300A¡¢REN300BϵÁÐÖ÷»úÅäÌ×ʹÓÃ,Ò²¿ÉÒÔµ¥¶ÀÅäÌ×RenRiArea·øÉäÇøÓò¼à²âÈí¼þʹÓá£ÇÒ¾ßÓÐRS485/RS232µÄͨѶÄÜÁ¦¡£ËùÓÐ̽ͷ¾ù¿Éµ¥¶ÀÍâ½Ó±¨¾¯µÆ£¬ÔÚ³¬ãÐÖµµÄÇé¿öϾ͵ظø³öÉù¹â±¨¾¯¡£ 

  •   µçÀë·øÉä ¾¯½ä´ø

    ÑÕÉ«£º»Æ°×Ïà¼ä£¬ºìÉ«ÎÄ×Ö¡°µ±ÐĵçÀë·øÉä  ÑϽû½øÈ롱   ²ÄÁÏ£ºµÓÂÚ²¼   ¹æ¸ñ£º4.5cm*100m   ÌØµã£ºµçÀë·øÉäÌØÓÐÈýÒ¶·û¾¯Ê¾·ûºÅºÍ±êÓï   ÓÃ;£ºÔÚ¹¤ÒµÌ½ÉË¡¢Ê¯ÓÍ¿±Ì½µÈʹÓ÷ÅÉäÔ´»òÉäÏß×°Öõij¡ËùÖÐÐèÒª¸ôÀë»®·Ö³ö¼à¶½ÇøºÍ¹ÜÀí

  •   REN710 ºË·øÉä¼ì²â±¨¾¯ÒÇ

           REN710ÐÍÐÐÈËͨµÀʽ¦ÃÉäÏß°²¼ìÃÅÊÇרΪÐÐÈËÉè¼ÆµÄ¡¢ÓÃÓÚ¼ì²â·ÅÉäÐÔÎïÖʵÄÃÅʽ¼ì²âϵͳ£¬ËüΪÐÐÈË·Ç·¨Ð¯´ø·ÅÉäÐÔÎïÖʼ°ÌØÊâºË²ÄÁÏÌṩ¿ìËÙ¼ì²âÊֶΣ¬Äܹ»Îªº£¹Ø¡¢»ú³¡¡¢ÂëÍ·¡¢»ð³µÕ¾¡¢Ò½Ôº¡¢±ß¾³¼ì²é¡¢ÖØÒª»áÒ鳡Ëù°²È«¼ì²éÌṩ°ïÖú¡£ÊǺË

±ê×¼Óë·¨¹æ

¶Ô¿ÕÇ鱨À×´ïÕ¾µç´Å»·¾³·À»¤ÒªÇó(GB 13618-92)

2006/9/16 20:50:00

¶Ô¿ÕÇ鱨À×´ïÕ¾µç´Å»·¾³·À»¤ÒªÇó

Requirements of electromagnetic enviroment
proteetion for air defense surveillance radar station

1 Ö÷ÌâÄÚÈÝÓëÊÊÓ÷¶Î§

    ±¾±ê×¼¹æ¶¨Á˶ԿÕÇ鱨À×´ïÕ¾¶Ô¸ßѹ¼Ü¿ÕÊäµçÏß·¡¢±äµçÕ¾¡¢Ìú·¡¢Æû³µ¹«Â·ºÍ¹¤¡¢¿Æ¡¢Ò½É䯵É豸µÈµç´Å·øÉäµÄ·À»¤ÒªÇ󣬲¢¹æ¶¨Á˶ԿÕÇ鱨À×´ïÕ¾ºÍÆäËûÎÞÏßµçÒµÎñÖ®¼äЭµ÷µÄÒÀ¾Ý¡£
    ±¾±ê×¼ÊÊÓÃÓÚ¹¤×÷ƵÂÊΪ80¡«3000MHzƵ¶ÎÄڵĶԿÕÇ鱨À×´ïÕ¾¡£

2 ÊõÓï

2.1 ¶Ô¿ÕÇ鱨À×´ïÕ¾ air defense surveillance radar station
    ¶Ô¿ÕÇ鱨À×´ïÕ¾ÓɶԿÕÇ鱨À״ѯÎÊ»úÒÔ¼°¸½ÊôÉ豸µÈ×é³É£¬ÔÚ·À¿ÕºÍ¿ÕÖн»Í¨¹ÜÖÆÏµÍ³ÖУ¬ÓÃÀ´ËÑË÷¡¢¼àÊÓºÍʶ±ð¿ÕÖÐÄ¿±ê£¬²â¶¨Æä×ø±ê¡£¶Ô¿ÕÇ鱨À×´ïÒ»°ã°üÀ¨¾¯½ä¡¢Òýµ¼¡¢²â¸ß¡¢Ä¿±êָʾ¡¢º½¹ÜÀ×´ïµÈ¡£
2.2 À×´ïÕ¾µç´Å»·¾³ radar station electromagnetic environment
    À×´ïÕ¾ÖÜΧ£¬×ÔÈ»ºÍÈËΪµÄ¸÷ÖÖµç´Å·øÉäÔÚÀ״﹤×÷Ƶ¶ÎÄڵĵç´ÅÄÜÁ¿¡¢Ê±¼ä¼°¿Õ¼ä·Ö²¼µÄ×ÜÌå¡£
2.3 ×î´óÈÝÐí¸ÉÈŵçѹ maximum permitted interference voltage
    ÔÚ²»ÄÜÍêÈ«±ÜÃâÓк¦¸ÉÈŵÄÌõ¼þÏ£¬¸ù¾Ý¸ÉÈÅ·À»¤×¼ÔòÈ·¶¨µÄÀ×´ï½ÓÊÕ»úÊäÈë¶ËÈÝÐíµÄ×î´ó¸ÉÈŵçѹ¡£
2.4 ×î´óÈÝÐí¸ÉÈų¡Ç¿ maximum permitted interference field strengrh
    À×´ï½ÓÊÕ»úÊäÈë¶Ë¸ÉÈŵçѹΪ×î´óÈÝÐíֵʱ£¬ÔÚÀ×´ïÌìÏßÖÐÐĸ߶ȴ¦µÄ¸ÉÈų¡Ç¿¡£
2.5 À×´ïÕ¾·À»¤¼ä¾à radar station protection distance
    ÄÜÂú×ã¸ÉÈÅ·À»¤×¼ÔòÒªÇóµÄÀ×´ïÌìÏßÓë¸÷¸ÉÈÅÔ´Ö®¼äµÄ×îС¼ä¸ô¾àÀë¡£
2.6 ¸ÉÈÅʱ¼ä interference duration
    À×´ï½ÓÊÕ»úÊäÈë¶Ë¸ÉÈŵçѹ³¬¹ý×î´óÈÝÐíÖµµÄ³ÖÐøÊ±¼ä¡£
2.7 µç´ÅÕϰ­Îï electromagnetic obstacle
    ÄܶÔÀ×´ïËù·øÉäµÄ¸ßƵµç´Å²¨²úÉúÕڱκ͸ÉÈÅÓ°ÏìµÄÉèÊ©£¬Í³³Æµç´ÅÕϰ­Îï¡£

3 ¸ÉÈÅ·À»¤×¼Ôò

3.1 ¶Ô¿ÕÇ鱨À×´ïÔÚÓÐÔ´¸ÉÈŲ»¿É±ÜÃâµÄÌõ¼þÏ£¬ÈÝÐíÓв»´óÓÚ5%µÄ̽²â¾àÀëËðʧ¡£
3.1.1 ¶Ô°×ÔëÉù¸ÉÈÅ£¬À×´ï½ÓÊÕ»úÊäÈë¶ËµÄ×î´óÈÝÐí¸ÉÈŵçѹΪ£º

         (1)

ʽÖУºUjfmax---½ÓÊÕ»úÊäÈë¶Ë×î´óÈÝÐí¸ÉÈŵçѹÓÐЧֵ£¬¦ÌV£»
      Unf---µÈЧµ½½ÓÊÕ»úÊäÈë¶ËµÄϵͳÔëÉùµçѹÓÐЧֵ£¬¦ÌV¡£È¡Öµ¼û±í1¡£

±í1 ½ÓÊÕ»úÊäÈë¶ËµÈЧÔëÉùµçѹ

Ƶ ÂÊ MHz 80¡«300 300¡«3000
Unf ¦ÌV 0.77 0.85

3.1.2 ¶Ô²»Í¬ÐÔÖʵÄËæ»ú¸ßƵÂö³å¸ÉÈÅ£¬ÔÚÀ×´ï½ÓÊÕ»úÊäÈë¶ËµÄ×î´óÈÝÐí¸ÉÈŵçѹΪ£º

         (2)

ʽÖУºC -- Ïà¶ÔÓÚ°×ÔëÉù×î´óÈÝÐí¸ÉÈŵçѹµÄÔöÁ¿ÏµÊý£¬È¡Öµ¼û±í2¡£

±í2 ²»Í¬ÐÔÖÊËæ»ú¸ßƵÂö³å¸ÉÈŵÄÔöÁ¿ÏµÊý

¸ÉÈÅÔ´ ¸ß ѹ    ¼Ü ¿Õ
ÊäµçÏß·¡¢±äµçÕ¾
µçÆø»¯
Ìú ·
Æû³µ
¹«Â·
¸ß Ƶ
ÈȺϻú
¹¤Òµ
µçº¸
¸ß Ƶ
ÀíÁÆ»ú
¸ßƵ¯
C 3 4 4 4 5.4 5.4 5.4

3.1.3 ¶Ô½ÓÊÕ»úͨƵ´øÒÔÍâµÄµ÷·ù¡¢µ÷Ƶ¸ÉÈÅÐźÅ£¬ÔÚÀ×´ï½ÓÊÕ»úÊäÈë¶ËµÄ×î´óÈÝÐí¸ÉÈŵçѹ¡£
3.1.3.1 ½ÓÊÕ»úÊäÈë¶Ë¶ÔͨƵ´øÍâÁÚÆµ¸ÉÈÅÐźŵÄ×î´óÈÝÐí¸ÉÈŵçѹΪ£º

         (3)

ʽÖУºUip¡÷fmax---½ÓÊÕ»úͨƵ´øÍâµÄ×î´óÈÝÐí¸ÉÈŵçѹ·åÖµ£¬dB(¦ÌV)£»
      Ujpmax---½ÓÊÕ»úͨƵ´øÄÚ×î´óÈÝÐí¸ÉÈŵçѹ·åÖµ£¬È¡Öµ¼û±í3£»
      K¡÷f---¸ÉÈÅÐÅºÅÆµÂÊÆ«Àë½ÓÊÕ»ú¹¤×÷ƵÂÊ¡÷fʱµÄ½ÓÊÕ»ú´øÍâÒÖÖÆÏµÊý£¬dB£¬È¡Öµ¼û±í4¡£

±í3 ½ÓÊÕ»úͨƵ´øÄÚ×î´óÈÝÐí¸ÉÈŵçѹ

¸ÉÈÅÖÖÀà µ÷ ·ù µ÷ Ƶ
Ƶ ¶Î MHz 80¡«300 300¡«3000 80¡«300 300¡«3000
Ujpmax  dB(¦ÌV) 6 6.9 18 18.7

±í4 ½ÓÊÕ»ú´øÍâÒÖÖÆÏµÊý

ƵƫMHz K¡÷fdB
80¡«300MHz 300¡«3000MHz
0.3 10 ¡ª¡ª
0.5 20 ¡ª¡ª
1.0 50 ¡ª¡ª
1.5 63 10
2.0 70 33
2.5 ¡ª¡ª 51
3.0 ¡ª¡ª 62
3.5 ¡ª¡ª 66
4.0 ¡ª¡ª 70

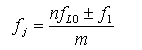
3.1.3.2 ¸ÉÈÅÐÅºÅÆµÂÊfjÂú×ã(4)ʽÌõ¼þʱ£¬ÔÚÀ×´ï½ÓÊÕ»úÊäÈë¶ËµÄ¸ÉÈŵçѹӦСÓÚ85dB(¦ÌV)¡£

         (4)

ʽÖУºfj---¸ÉÈÅÐÅºÅÆµÂÊ£¬MHz£»
      n---±¾ÕñƵÂʵÄг²¨´ÎÊý£¬ÕýÕûÊý1£¬2£¬3£»
      fLO---½ÓÊÕ»ú±¾ÕñƵÂÊ£¬MHz£»
      fI---½ÓÊÕ»úÖÐÆµÆµÂÊ£¬MHz£»
      m---¸ÉÈÅÆµÂʵÄг²¨´ÎÊý£¬ÕýÕûÊý1£¬2£¬3¡£

3.1.3.3 Èç¹ûÓÐÁ½ÉÏ»òÁ½¸öÒÔÉϵĸÉÈÅÐźÅͬʱ½øÈëÀ×´ï½ÓÊÕ»úÊäÈë¶Ë£¬ÆäƵÂÊÂú×ã²úÉú¶þ¡¢Èý½×»¥µ÷¸ÉÈÅÌõ¼þʱ£¬ÆäÖÐÒ»¸ö¸ÉÈÅÐźŵĵçѹӦµÍÓÚ60dB(¦ÌV)¡£
3.1.3.4 ÔÚÀ×´ï½ÓÊÕ»ú¸ß·Åͨ´øÍâ,¸ÉÈÅÐÅºÅÆµÂʲ»Âú×ã(4)ʽºÍ»¥µ÷¸ÉÈÅÌõ¼þʱ,¸ÉÈÅÐźŵçѹӦСÓÚ110dB(¦ÌV)¡£
3.2 µç´ÅÕϰ­Îï¶ÔÀ×´ï̽²â¾àÀëÓ°ÏìµÄËðʧ£¬²»³¬¹ý̽²â¾àÀëµÄ5%¡£
3.3 Ò»´ÎÁ¬½Ó¸ÉÈÅʱ¼ä²»³¬¹ý10s¡¢Á½´Î¸ÉÈŵļä¸ôʱ¼ä²»ÉÙÓÚ10s¡¢Ã¿Ð¡Ê±ÀۼƸÉÈÅʱ¼ä²»³¬¹ý¹¤×÷ʱ¼äµÄ5%¡£

4 ·À»¤¼ä¾à

    ¶Ô¿ÕÇ鱨À×´ïÕ¾¶Ô¸÷ÖÖ¸ÉÈÅÔ´µÄ·À»¤¼ä¾à¼û±í5¡£

±í5 ·À»¤¼ä¾à

¸É ÈÅ Ô´ ·À»¤¼ä¾à£¬km ±¸ ×¢
80¡«300MHz 300¡«3000MHz
¸ßѹ¼Ü¿Õ

ÊäµçÏß·
500kV 1.6 1.0   
220¡«330kV 1.2 0.8   
110kV 1.0 0.7   
¸ßѹ±äµçÕ¾ 500kV 3.0 1.2   
220¡«330kV 1.6 0.8   
110kV 1.4 0.7   
µçÆø»¯Ìú· ¹ú²ú»ú³µ 0.8 0.7   
·ÇµçÆø»¯Ìú· 0.6 0.5   
Æû³µ¹«Â· ¸ßËÙ¡¢Ò»¼¶ 1.0 0.7   
¶þ¼¶ 0.8 0.7   
¸ßƵÈȺϻú 1.2 1.2 ´Ó³§·¿ËãÆð
¸ßƵ¯ P¡Ü100kW 0.5 0.5 ÓÐÆÁ±ÎµÄ³§·¿£¬
´Ó³§·¿ËãÆð
¹¤Òµµçº¸ P¡Ü10kW 0.5 0.5   
³¬¸ßƵÀíÁÆ»ú P¡Ü1kW 1.0 1.0 ´Ó¹¤×÷¼äËãÆð
Å©ÓõçÁ¦É豸 P¡Ü1kW 0.5 0.5   
¡¡

    ×¢£ºa.ÌØÊâÇé¿öÏ£¬°´¸ÉÈÅ·À»¤×¼ÔòµÄÒªÇ󣬲ÎÕÕÓйظ½Â¼½øÐвâËã¡£
        b.À×´ï¶Ôµ÷·ù¡¢µ÷ƵÐźŷ¢ËÍÉ豸µÄ·À»¤¼ä¾à°´Óйظ½Â¼Öеķ½·¨¼ÆËã¡£

¶Ô¿ÕÇ鱨À×´ïÕ¾µç´Å»·¾³·À»¤ÒªÇó(GB 13618-92) µÄÏà¹Ø²úÆ·£º
  • REN200AÐÍX-¦Ã¸öÈ˼ÁÁ¿±¨¾¯ÒÇ

    ²úÆ·Ãû³Æ£ºREN200AÐÍX-¦Ã¸öÈ˼ÁÁ¿±¨¾¯ÒÇ

    ²úÆ·ÃèÊö£ºREN200AÐÍX¡¢¦Ã·øÉä¸öÈ˼ÁÁ¿µ±Á¿HP(10)¼à²âÒÇ£¨¼ò³Æ£º¸öÈ˼ÁÁ¿±¨¾¯ÒÇ£©ÄÚÖøßÁéÃô¶È¸Ç¸ñ¼ÆÊý¹ÜΪ̽²âÆ÷£¬Ö÷ÒªÓÃÀ´¼à²â¸÷ÖÖ·ÅÉäÐÔ¹¤×÷³¡ËùµÄX¡¢¦ÃÒÔ¼°Ó²¦ÂÉäÏߵķøÉ䣬¾ßÓÐÏìÓ¦¿ì£¬²âÁ¿·¶Î§¿íµÄÌØµã¡£ÄÜÏÔʾ¹¤×÷³¡ËùµÄ¼ÁÁ¿µ±Á¿ÂʺÍÀÛ»ý¼ÁÁ¿£¬¸ü»»µç³ØÊ±£¬ÈÕÆÚ¼°ÀÛ»ýÊý¾ÝÄÜÓÀ¾Ã±£´æ¡£¿ÉÑ¡ÅäRenRiPers

  • REN500H·øÉä·À»¤ÓÃX¡¢¦Ã·øÉä¼ÁÁ¿µ±Á¿(ÂÊ)ÒÇ

    ²úÆ·Ãû³Æ£ºREN500H·øÉä·À»¤ÓÃX¡¢¦Ã·øÉä¼ÁÁ¿µ±Á¿(ÂÊ)ÒÇ

    ²úÆ·ÃèÊö£ºREN500H·øÉä·À»¤ÓÃX¡¢¦Ã·øÉä¼ÁÁ¿µ±Á¿(ÂÊ)ÒÇÊǼà²â¸÷Öָ߼ÁÁ¿·ÅÉäÐÔ¹¤×÷³¡ËùµÄ·øÉä¼ÁÁ¿ÂÊרÓÃÒÇÆ÷¡£ÒÇÆ÷Âú×ã¡¶»·¾³µØ±í¦Ã·øÉä¼ÁÁ¿Âʲⶨ¹æ·¶¡·Öи߼ÁÁ¿²¿·ÖµÄÒªÇ󡣸ÃÒÇÆ÷³ýÄܲâ¸ßÄܦÃÉäÏßÍ⣬»¹ÄܶԵÍÄÜXÉäÏß½øÐÐ׼ȷµÄ²âÁ¿£¬¾ßÓÐÁ¼ºÃµÄÄÜÁ¿ÏìÓ¦ÌØÐÔ¡£´ËÍâͨ¹ýÅäÌ×µÄRenRiRate·øÉä¼ÁÁ¿¹ÜÀíÈí¼þ¿É½«´æ´¢

  • REN300AÐÍÔÚÏß·øÉ䰲ȫ±¨¾¯ÒÇ

    ²úÆ·Ãû³Æ£ºREN300AÐÍÔÚÏß·øÉ䰲ȫ±¨¾¯ÒÇ

    ²úÆ·ÃèÊö£º  REN300AÔÚÏß·øÉ䰲ȫ±¨¾¯ÒÇÊÇÒ»ÖÖÐÂÐ͵Äx-¦Ã·øÉäÁ¬Ðø¼à²â±¨¾¯×°Öã¬Ëü²ÉÓÃÌØÊâÉè¼ÆµÄǰÖ÷Ŵóµç·£¬¾ßÓÐÁéÃô¶È¸ß¡¢²Ù×÷·½±ã¡¢×Ô¶¯ÏÔʾºÍ³¬ãÐÖµ±¨¾¯µÈÌØµã£¬ÄÜʵʱ¸ø³öx¦Ã·øÉä¼ÁÁ¿ÂÊ£»ÒÇÆ÷ÄÚÖú£Á¿Êý¾Ý´æ´¢¹¦ÄÜ£¬ÄÜ´æ´¢10ÄêµÄÀúÊ·Êý¾ÝÇÒ±êÅäÌṩǿ´óµÄRenLocal·øÉä¼à²âÊý¾Ý·ÖÎöÈí¼þ¡£¿¼ÂÇ

  • REN500LÐÍ»·¾³¼à²âÓÃX¡¢¦Ã·øÉä¿ÕÆø±ÈÊͶ¯ÄÜÂÊÒÇ

    ²úÆ·Ãû³Æ£ºREN500LÐÍ»·¾³¼à²âÓÃX¡¢¦Ã·øÉä¿ÕÆø±ÈÊͶ¯ÄÜÂÊÒÇ

    ²úÆ·ÃèÊö£ºREN500L»·¾³¼à²âÓÃX¡¢¦Ã·øÉä¿ÕÆø±ÈÊͶ¯ÄÜÂÊÒDzÉÓó¬´ó³ß´ç¡¢¸ßÁéÃôµÄÉÁ˸¾§Ìå×÷Ϊ̽²âÆ÷,·´Ó¦Ëٶȿ졣Ö÷»úÄÚÖÃ̽²âÆ÷ʹµÃÕû»úÓиü¿íµÄ²âÁ¿·¶Î§¡£ÒÇÆ÷Âú×ã¡¶»·¾³µØ±í¦Ã·øÉä¼ÁÁ¿Âʲⶨ¹æ·¶¡·ÖеͼÁÁ¿²¿·ÖµÄÒªÇ󡣸ÃÒÇÆ÷³ýÄܲâ¸ßÄÜ¡¢µÍÄܦÃÉäÏßÍ⣬»¹ÄܶԵÍÄÜXÉäÏß½øÐÐ׼ȷµÄ²âÁ¿£¬¾ßÓÐÁ¼ºÃµÄÄÜÁ¿ÏìÓ¦ÌØÐÔ¡£´ËÍâͨ¹ý

  • ǦÆÁ·ç¡¢Ç¦Ò¼Ü¡¢µçÀë·øÉä¾¯Ê¾ÅÆ¡¢·ÖÔ´·À»¤ÆÁ¡¢Ç¦Ïä¡¢×¢ÉäÆ÷·À»¤Ìס¢±¨¾¯µÆ

    ²úÆ·Ãû³Æ£ºÇ¦ÆÁ·ç¡¢Ç¦Ò¼ܡ¢µçÀë·øÉä¾¯Ê¾ÅÆ¡¢·ÖÔ´·À»¤ÆÁ¡¢Ç¦Ïä¡¢×¢ÉäÆ÷·À»¤Ìס¢±¨¾¯µÆ

    ²úÆ·ÃèÊö£ºµ¥ÁªÒƶ¯Ê½·À»¤ÆÁ·ç 1¡¢¹æ¸ñ³ß´ç£º  H¡ÁW£º1800¡Á900 (mm)2¡¢ÉÌÆ·ÃèÊö£º  Éϲ¿Ç¦Óлú²£Á§µÄ¸ß¶ÈΪ   H¡ÁW£º240¡Á240 (mm)3¡¢Ç¦µ±Á¿£º  Ǧ²£Á§0.5mmPb£¬  ϲ¿·ÖǦµ±Á¿Îª0.5mmpb4¡¢ÍâÊβÄÁÏ£ºÌ¼ËظְåÅç

  • REN300A+REN-3He-NÐ͹̶¨Ê½ÖÐ×Ó¡¢Ù¤Â걨¾¯ÒÇ

    ²úÆ·Ãû³Æ£ºREN300A+REN-3He-NÐ͹̶¨Ê½ÖÐ×Ó¡¢Ù¤Â걨¾¯ÒÇ

    ²úÆ·ÃèÊö£º±¾±¨¾¯ÒÇÓÉREN300AÔÚÏß·øÉ䰲ȫ±¨¾¯ÒǺÍREN-3He-NÖÐ×Ó̽ͷºÍREN-GM-L X¡¢Ù¤Âê̽ͷ×é³É¡£¸Ã·øÉ䱨¾¯×°ÖÃÊDzÉÓÃÌØÊâÉè¼ÆµÄǰÖ÷Ŵóµç·£¬¾ßÓÐÁéÃô¶È¸ß¡¢²Ù×÷·½±ã¡¢×Ô¶¯ÏÔʾ¡¢Êý¾Ý´æ´¢ºÍ³¬ãÐÖµ±¨¾¯µÈÌØµã£¬ÄÜʵʱ¸ø³öxÉäÏß¡¢¦ÃÉäÏß¡¢ÖÐ×ÓÉäÏߵķøÉä¼ÁÁ¿ÂÊ¡£¿¼Âǵ½ÏÖ³¡²Ù×÷¡¢Ó¦¼±¿ìËÙÏìÓ¦µÄÐèÒª£¬Ö÷